
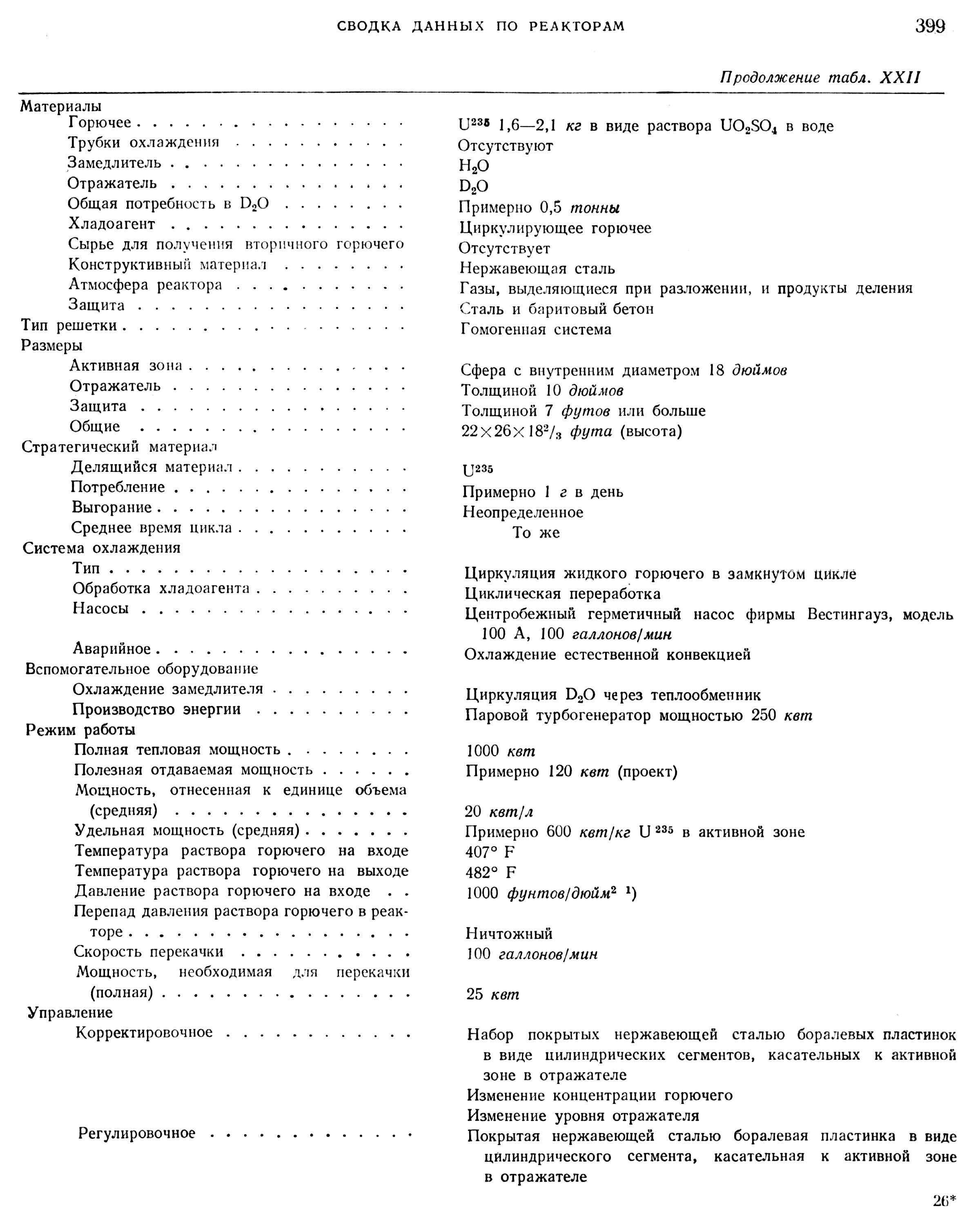
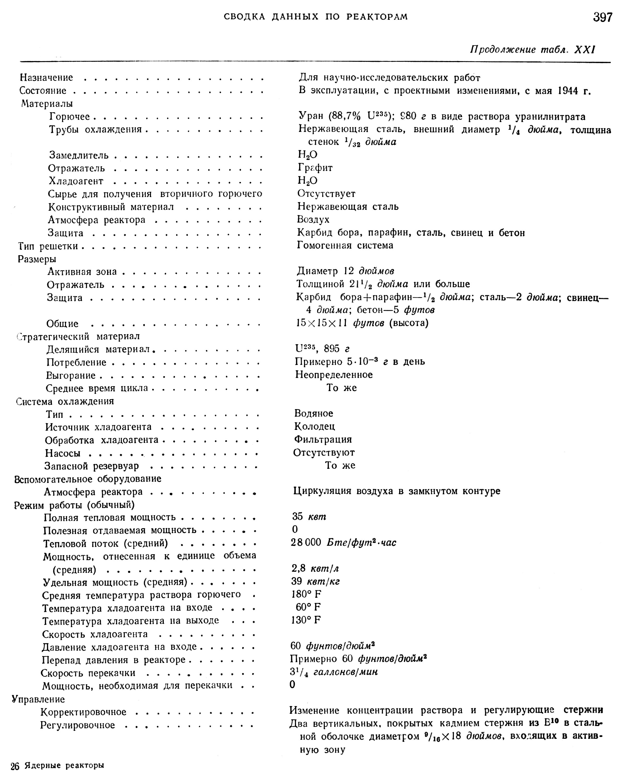
Ядерные реакторы : Пер. с англ. : Т. 1—3. — М. : Изд-во иностр. лит., 1956—1957. — (Материалы Комиссии по атомной энергии США) Т. 1: Физика ядерных реакторов. — 1956. — 411 с. : ил. — Библиогр. в конце глав и частей.
https://elib.biblioatom.ru/text/yadernye-reaktory_t1_1956/