
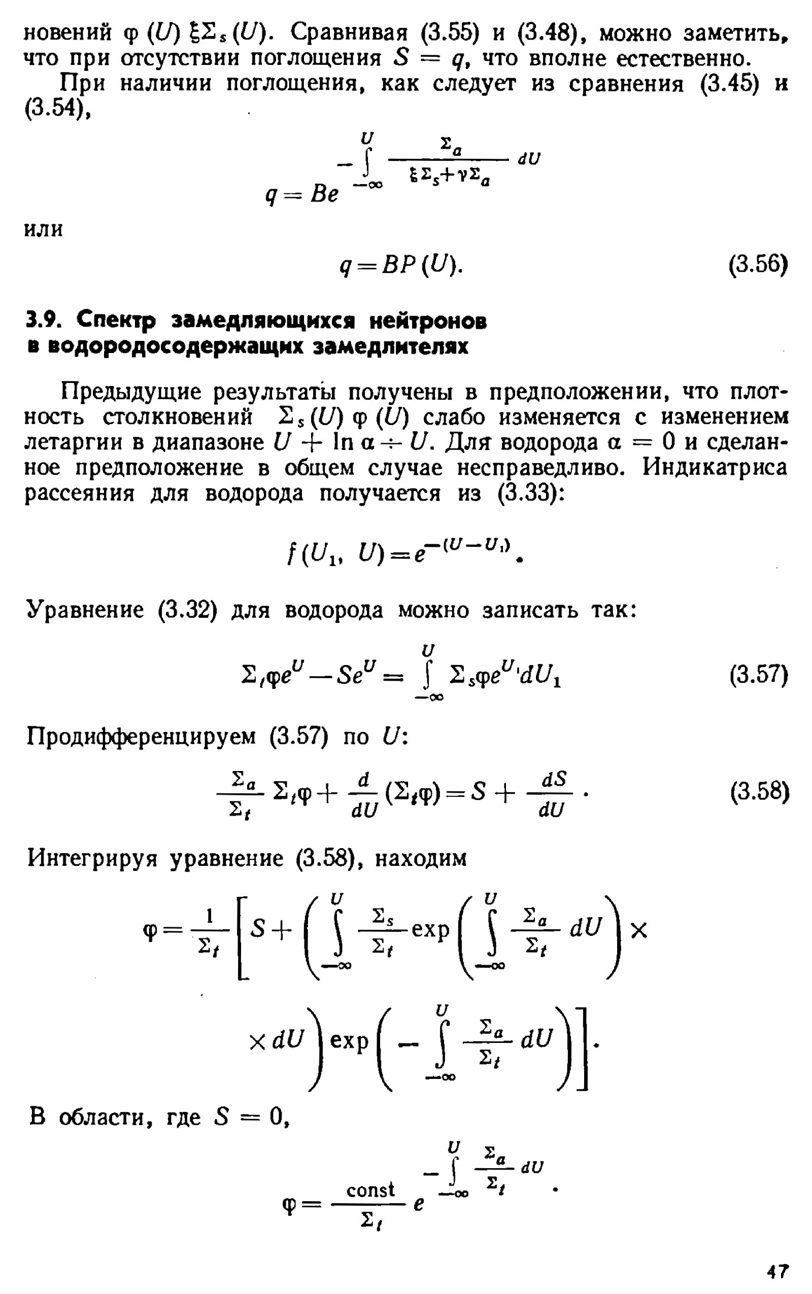
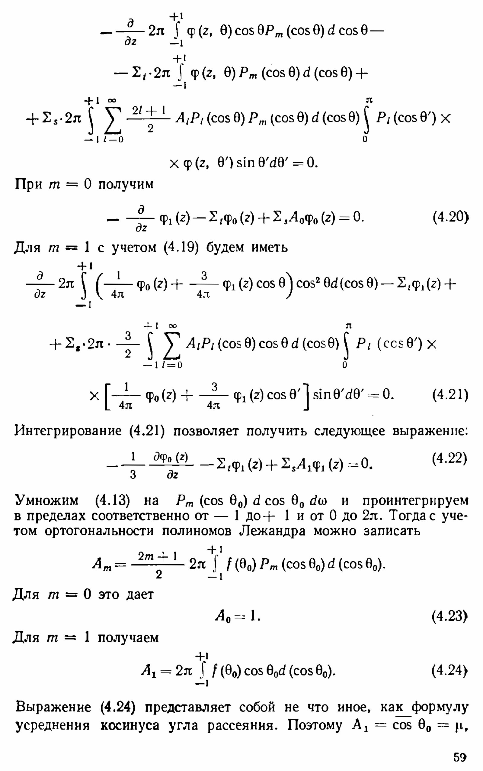
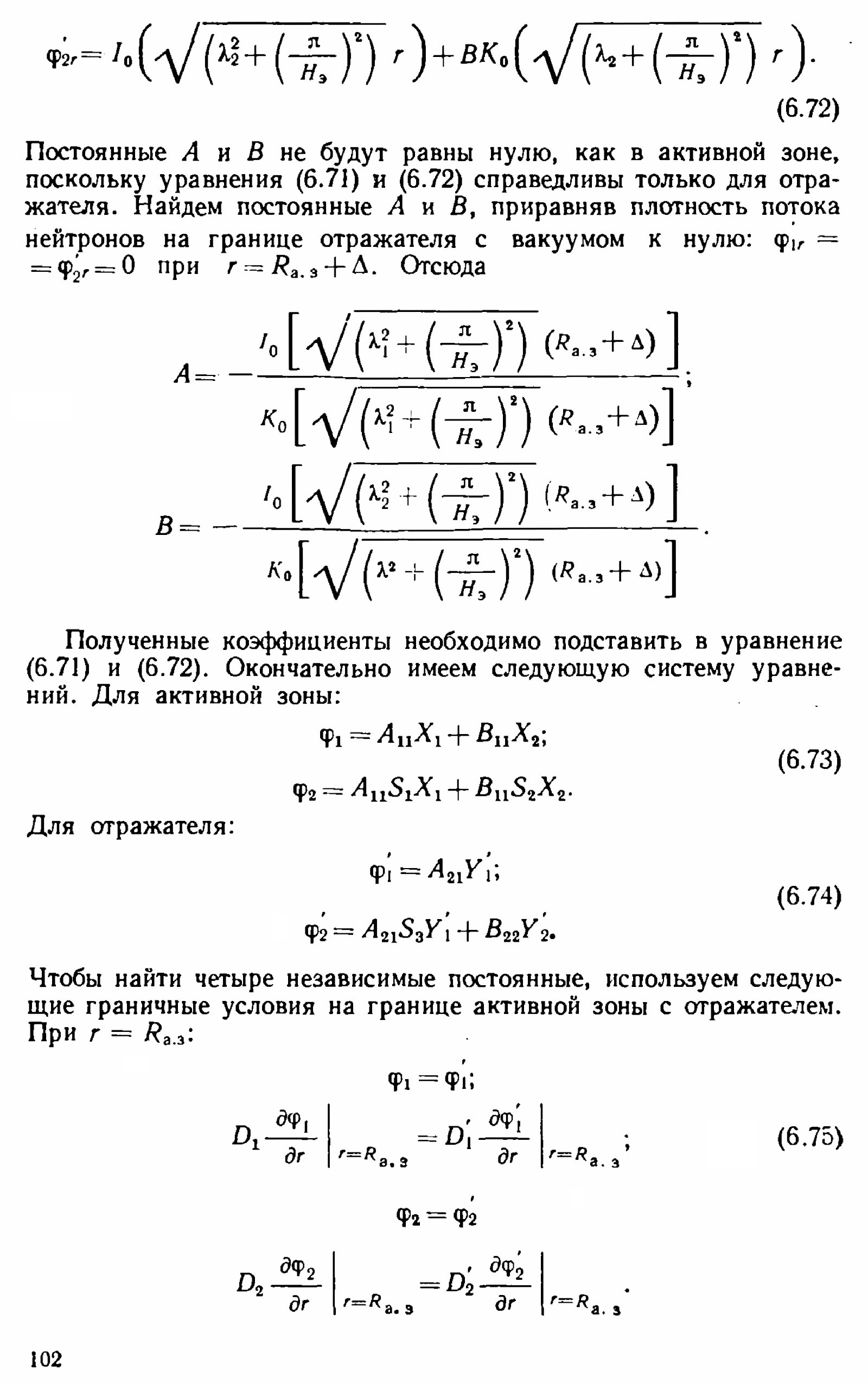
Шаманов Н. П., Романцов Г. Е. Судовые ядерные энергетические реакторы : Основы теории и расчета : [Учеб. для вузов по спец. «Судовые силовые установки»]. — Л. : Судостроение, 1984. — 231 с. : ил. — Библиогр.: с. 225—226 (20 назв.). — Предм. указ.: с. 227—228.
https://elib.biblioatom.ru/text/shamanov_sudovye-yadernye-reaktory_1984/