
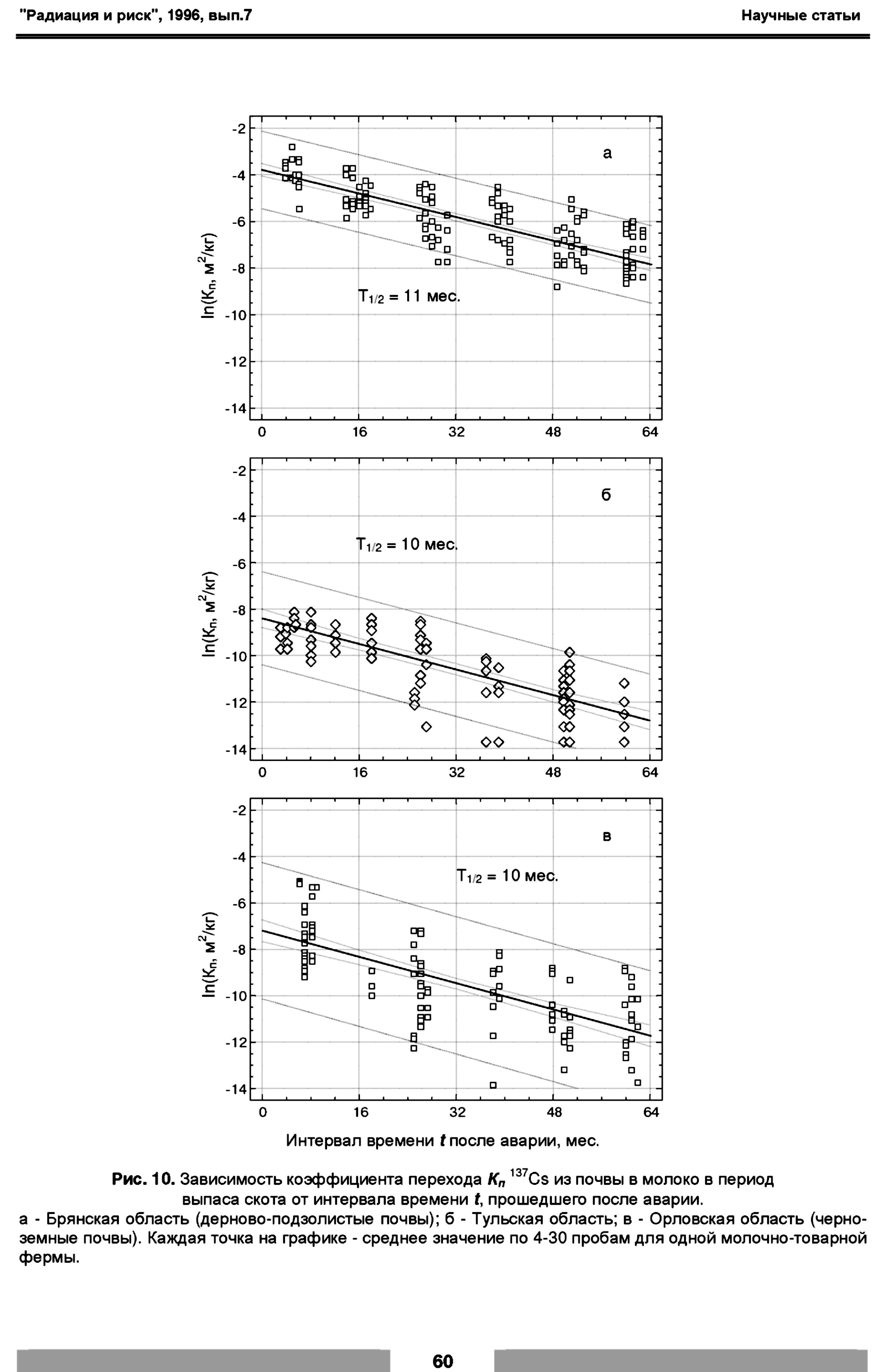
Балонов М. И., Брук Г. Я. и др. Облучение населения Российской Федерации вследствие аварии на Чернобыльской АЭС / Балонов М. И., Брук Г. Я., Голиков В. Ю., Еркин В. Г., Звонова И. А., Пархоменко В. И., Шутов В. Н. // Радиация и риск. — 1996. — Вып. 7. — С. 39–71.
https://elib.biblioatom.ru/text/balonov_obluchenie-naseleniya_1996/