
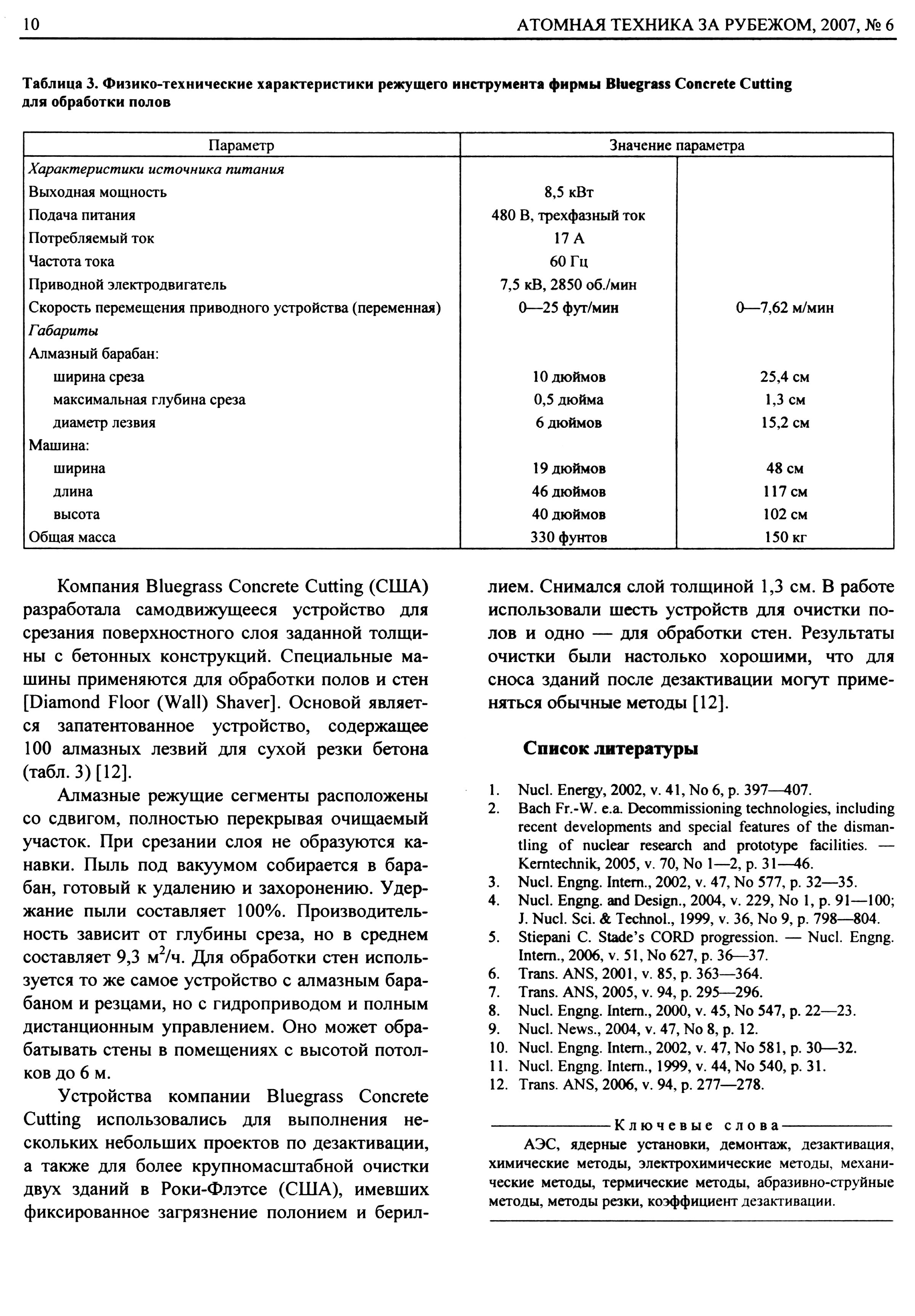
Атомная техника за рубежом : Ежемесячный сборник переводных материалов / Гл. упр. по использованию атом. энергии при Сов. министров СССР. — М. : Атомиздат, 1957 —...
2007. — № 6. — 36 с.
https://elib.biblioatom.ru/text/atomnaya-tehnika-za-rubezhom_2007_v6/